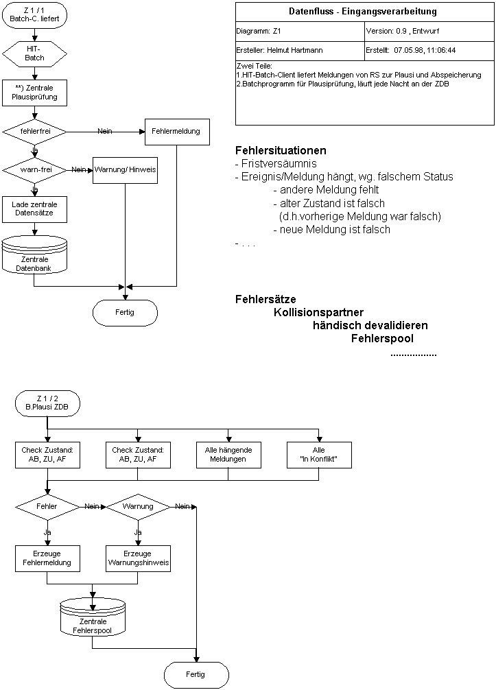
Zur Homepage www.HI-Tier.de Z1 - Eingangsverarbeitung
Zurück Home Nach oben Weiter
Öffentlicher Bereich für Entwickler

 

Z1 - Eingangsverarbeitung

horizontal rule

[Zurück] [Weiter]


Seite 4 von 8